• Предмет: Физика
  • Автор: bpanser1010
  • Вопрос задан 7 лет назад

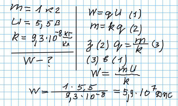
Які витрати енергії на здобуття 1 кг алюмінію, якщо електроліз солі
алюмінію ведеться під напругою 5,5 В? (к = 0,093 • 10-6 кг/Кл)

Ответы

Ответ дал: zybkov1950
2

Відповідь: 59 МДж

Пояснення:

Приложения:

artem1666: Можете помочь пожалуйста спасибо:)
Вас заинтересует