• Предмет: Алгебра
  • Автор: d34211234
  • Вопрос задан 7 лет назад

буду ждать ответа заранее спасибо ​

Приложения:

Ответы

Ответ дал: olgaua64
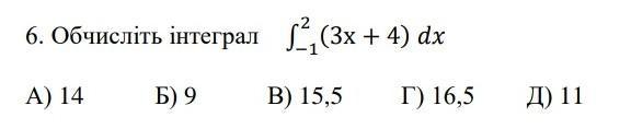
1

Відповідь:

16,5

Пояснення:

S(3x+4)dx=3/2 x²+4x |_(-1)^(2)=3/2×2²+4×2-(3/2×(-1)+4×(-1))=6+8+3/2+4=18-1½=16,5

Вас заинтересует