Ответы
Ответ дал:
1
Ответ:
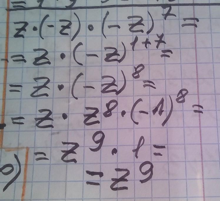
решение смотри на фотографии
Приложения:

Ответ дал:
0
Объяснение:
При чётном количестве минусов, ответ будет положительным:
z * (-z) * (-z)⁷ = z * z⁸ = z⁹
Вас заинтересует
2 года назад
2 года назад
2 года назад
8 лет назад
9 лет назад