• Предмет: Алгебра
  • Автор: Аноним
  • Вопрос задан 7 лет назад

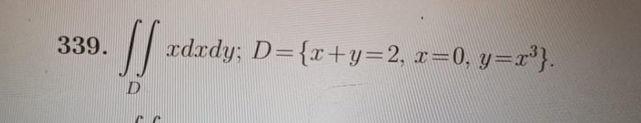
Решить интеграл..........​

Приложения:

Ответы

Ответ дал: sangers1959
1

Объяснение:

D=\{x+y=2, \ x=0,\ y=x^3\}=\{y=2-x,\ x=0,\ y=x^3\}.\\x^3=2-x\\x^3+x-2=0\\x^3-x^2+x^2+x-2=0\\x^2*(x-1)+x^2-x+2x-2=0\\x^2*(x-1)+x*(x-1)+2(x-1)=0\\(x-1)*(x^2+x+2)=0\\x-1=0\\x_1=1.\\x^2+x+2=0\\D=-7\\x\in\varnothing.\ \ \ \ \Rightarrow\\

\int\limits^1_0\, dx\int\limits^{2-x}_{x^3}  \, dy=\int\limits^1_0 {(2-x-x^3)} \, dx=(2x-\frac{x^2}{2} -\frac{x^4}{4} )\ |_0^1=\\=2*1-\frac{1^2}{2}-\frac{1^4}{4}-(2*0-\frac{0^2}{2}-\frac{0^4}{4})=2-\frac{1}{2}-\frac{1}{4}=2-\frac{3}{4}=1\frac{1}{4}=\frac{5}{4}=1,25.


Аноним: спасибо большое
sangers1959: Удачи.
Вас заинтересует