• Предмет: Математика
  • Автор: mikhalychB
  • Вопрос задан 7 лет назад

срочно!!!!!!!!!!!!!!!!!!!!!!!!!!!!!!!!!!!!!!!!!!!!!!!!

Приложения:

Ответы

Ответ дал: iramazurk
0

Ответ:

-4/5 или -0,8

Пошаговое объяснение:

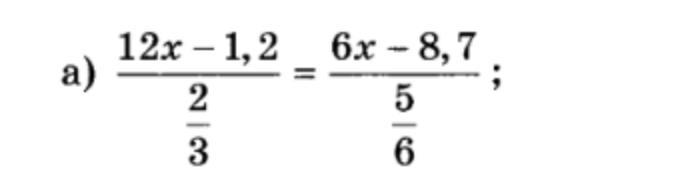
(12х - 1,2)/2/3 = (6х - 8,7)/5/6

5/6(12х - 1,2) = 2/3(6х - 8,7)

5/6(12х - 12/10) = 2/3(6х - 87/10)

60/6х - 60/60 = 12/3х - 174/30

10х - 1 = 4х - 5. 24/30

10х - 4х = -5. 4/5 + 1

6х = -4. 4/5

6х = -24/5

х = -24/5 : 6

х = -24/5 * 1/6

х = -24/30

х = -4/5 или -0,8

Вас заинтересует