• Предмет: Алгебра
  • Автор: goluzovadasha
  • Вопрос задан 7 лет назад

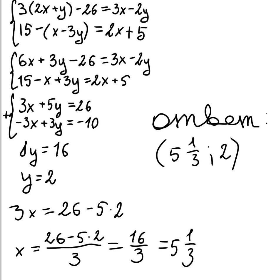
Решите систему уравнений: 3(2x+y) - 26 = 3x-2y 15-(x-3y)=2x + 5 даю 29 баллов ​

Ответы

Ответ дал: kisskatww
0

Ответ:

удачки!!!!!!!!!!!!!!!!!!!!!!!

Приложения:

gordeevaev2007: можешь помочь с вопросом по алгебре
kisskatww: да, можете задать вопрос??
gordeevaev2007: задала спасибо заранее
Вас заинтересует