Тема: "Обратная функция"
Помогите решить:
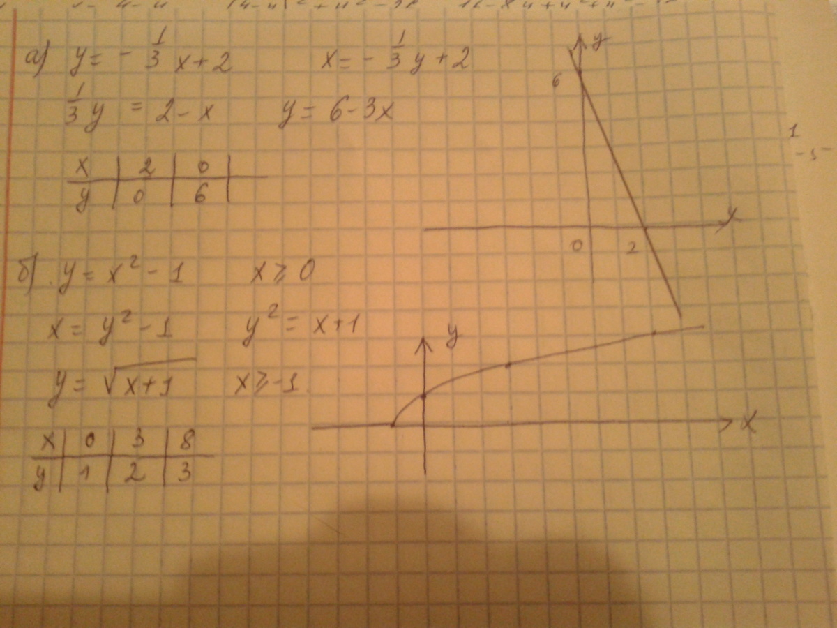
Задание; Построить график функции, обратной к f:
а) f (x)= 
б) f (x)=
, где
Ответы
Ответ дал:
1
...........................................................................
Приложения:

NeoTwo:
спасибо
Ответ дал:
1
Приложения:


Вас заинтересует
2 года назад
2 года назад
2 года назад
2 года назад
7 лет назад
9 лет назад