• Предмет: Алгебра
  • Автор: vladimir2292
  • Вопрос задан 7 лет назад

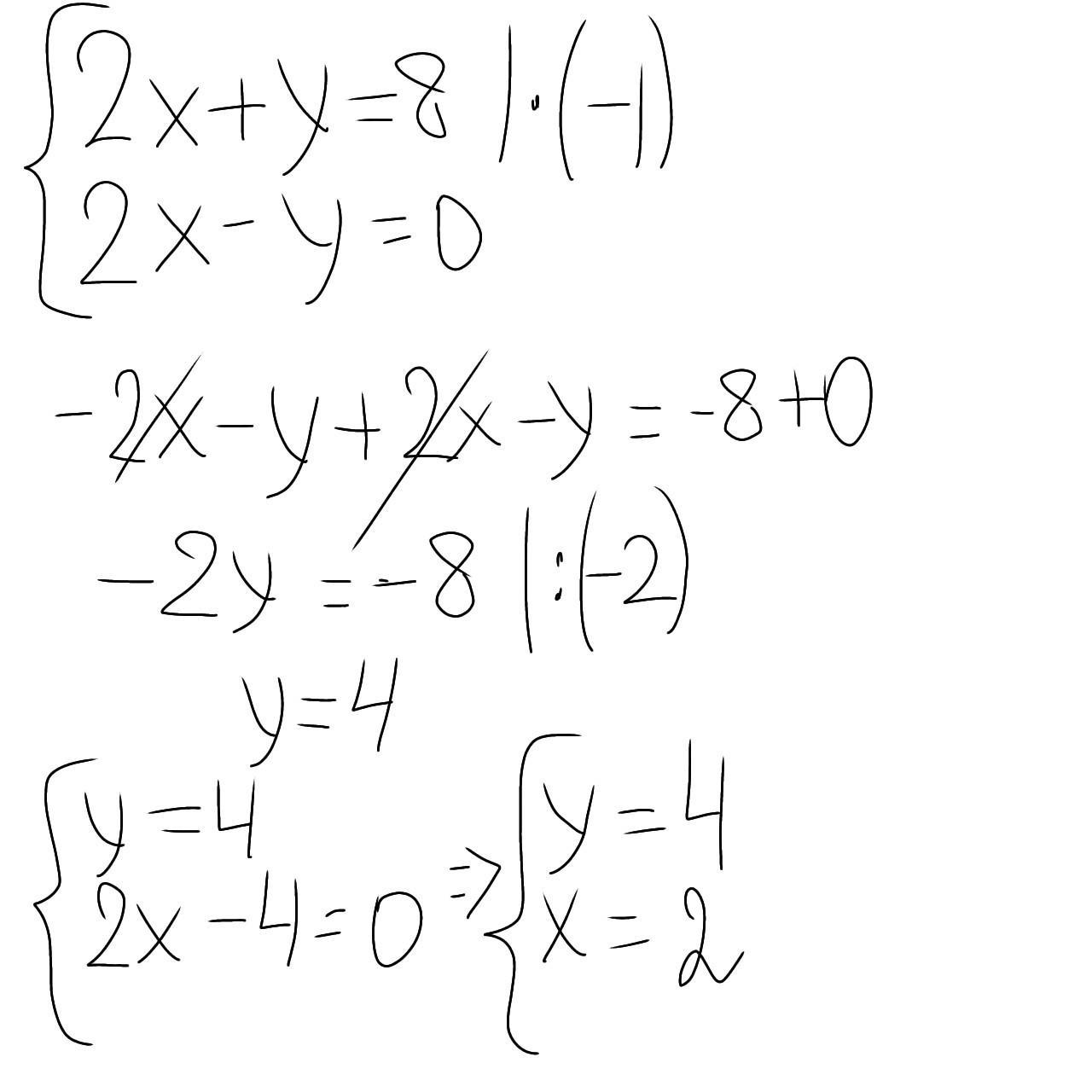
розвяжить графично систему ривнянь {2х+у=8 {2х-у=0

Ответы

Ответ дал: ruslannamazbaev
0

\left \{ {{2x+y=8} \atop {2x-y=0}} \right.     - > \left \{ {{2x+y=8} \atop {2x=y}} \right.   - > \left \{ {{y+y=8} \atop {2x=y}} \right.  - > \left \{ {{2y=8} \atop {2x=y}} \right.  - > \left \{ {{y=4} \atop {2x=y}} \right. - > \left \{ {{y=3} \atop {2x=4}} \right. - > \left \{ {{y=4} \atop {x=2}} \right.

Ответ дал: zunna990
0

Ответ:

Ответ и объяснение в файле.

Приложения:
Вас заинтересует