• Предмет: Алгебра
  • Автор: phoenix61393
  • Вопрос задан 7 лет назад

Упростите дроби:
срочно​

Приложения:

Ответы

Ответ дал: manyny06
1

Ответ:

решение смотри на фотографии

Приложения:
Ответ дал: Alnadya
0

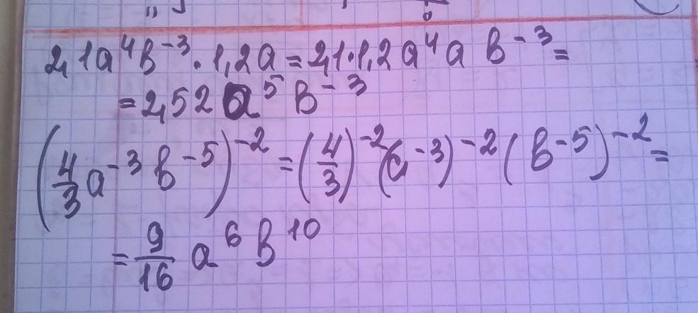
Решение.

Пользуемся свойствами степеней .

\bf 2,1a^4b^{-3}\cdot 1,2a=(2,1\cdot 1,2)\cdot a^{4+1}\cdot b^{-3}=2,52\cdot a^5\cdot b^{-3}\\\\\\\Big(\dfrac{4}{3}a^{-3}\cdot b^{-5}\Big)^{-2}=\Big(\dfrac{3}{4}\Big)^2\cdot a^{-3\cdot (-2)}\cdot b^{-5\cdot (-2)}=\dfrac{9}{16}\cdot a^{6}\cdot b^{10}

Вас заинтересует