• Предмет: Алгебра
  • Автор: ilgammohammad
  • Вопрос задан 7 лет назад

20 БАЛЛОВ!!!
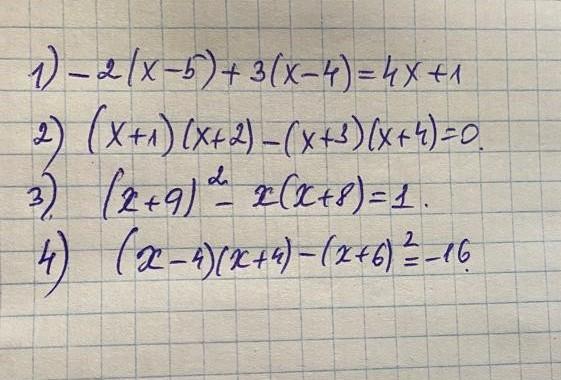
Решите уравнения​

Приложения:

Ответы

Ответ дал: dobra888
1

Ответ:

Объяснение:

   1)   - 2( x - 5 ) + 3( x - 4 ) = 4x + 1 ;

        - 2x + 10 + 3x - 12 = 4x + 1 ;

        - 2x + 3x - 4x = 1 + 12 - 10 ;

          - 3x = 3 ;

              x = 3 : (- 3 ) ;

              x = - 1 .  

  3) ( x + 9 )² - x ( x + 8 ) = 1 ;

       x² + 18x + 81 - x² - 8x = 1 ;

        18x - 8x = 1 - 81 ;

        10x = - 80 ;

            x = - 80 : 10 ;

            x = - 8 .  

  Два інші приклади рішаються аналогічно .

Вас заинтересует