• Предмет: Алгебра
  • Автор: Sofiynuk
  • Вопрос задан 7 лет назад

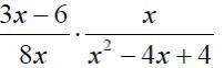
Якщо x=0,5
30Балів!!

Приложения:

Ответы

Ответ дал: floferum
0

Ответ:

-0.25

Объяснение:

Приложения:
Вас заинтересует