Ответы
Ответ дал:
3
Ответ:
Пошаговое объяснение:
Приложения:

Ответ дал:
3
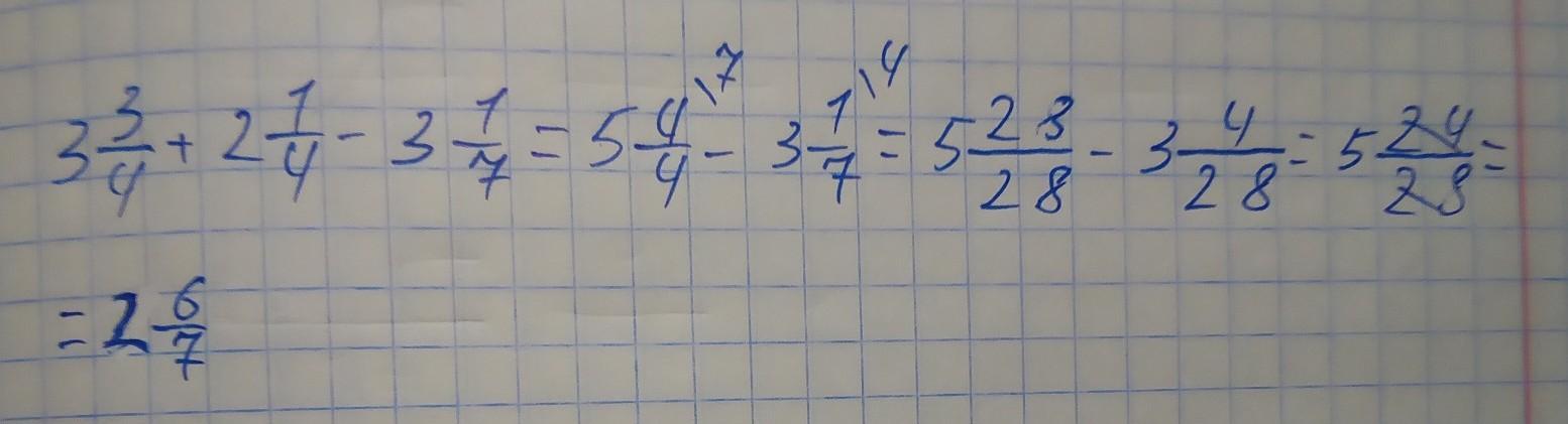
Ответ:
3 3/4+2 1/4-3 1/7=2 6/7
Пошаговое объяснение:
Надіюсь допоміг.
Приложения:

Вас заинтересует
2 года назад
2 года назад
2 года назад
2 года назад
8 лет назад
9 лет назад