• Предмет: Алгебра
  • Автор: kazooloo2016
  • Вопрос задан 7 лет назад

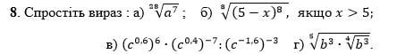
спростіть вираз, будь ласочка

Приложения:

Ответы

Ответ дал: manyny06
0

Ответ:

решение смотри на фотографии

Приложения:

korolivskijizomrud: Ти можешь пожалуйста ответить на 2 последних вопроса
korolivskijizomrud: В профиле
Вас заинтересует