• Предмет: Алгебра
  • Автор: Sofiakulisch
  • Вопрос задан 7 лет назад

СРОЧНО ДАЮ 40 БАЛЛОВ!!!
Упростите выражение:
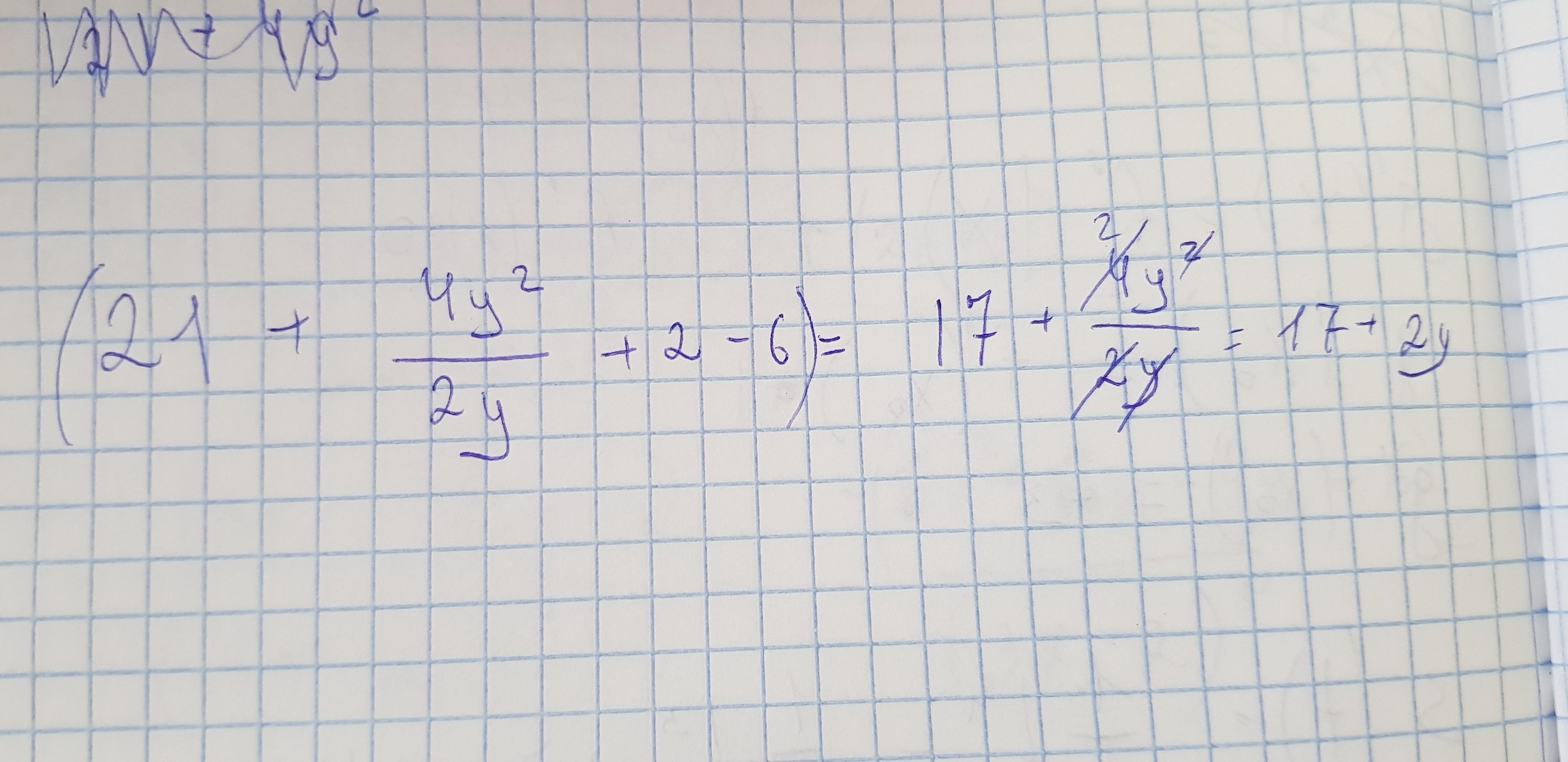
4y−3x+2xy−6/2y+2y^2: (21+4y^2/2y+2− 6).
помогите пж
(21+4y^2/2y+2− 6). вот тут если что от всей скобки отнимается 6 заенее спасибо большое

Ответы

Ответ дал: Kromsl
1

Відповідь:

17+2у

Пояснення:

на фото

Приложения:

Sofiakulisch: 4y−3x+2xy−6/2y+2y^2: (21+4y^2/2y+2− 6). вот это надо было решить
Sofiakulisch: е могла бы ты еще раз решить пожалуйстааа
Вас заинтересует