Найдите площадь ромба с периметром 100 см, одна из диагоналей которого равна 14 см( с рисунком )
Ответы
Ответ дал:
0
1фото-рисунок
2 фото-формула
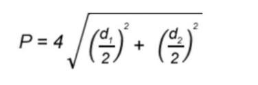
Периметр ромба (через диагонали) на фото
подставляем вместо d1-x( это будет неизвестная диагональ);
и d2=14;
Подставив все в формулу и посчитав получится что d1=48;
в итоге получаем две диагонали одна 14, а другая 48;
Находим площадь ромба по формуле:
S=1/2*D1*D2
S=1/2*14*48=336
Ответ:336
Приложения:


Вас заинтересует
2 года назад
2 года назад
2 года назад
8 лет назад
9 лет назад