Ответы
Ответ дал:
2
Ответ:
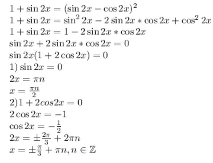
Ответ в скриншоте, всего хорошего
Объяснение:
Ответ в скриншоте, всего хорошего
Объяснение:
Приложения:

Вас заинтересует
2 года назад
2 года назад
2 года назад
8 лет назад