• Предмет: Алгебра
  • Автор: irastarovetska4048
  • Вопрос задан 7 лет назад

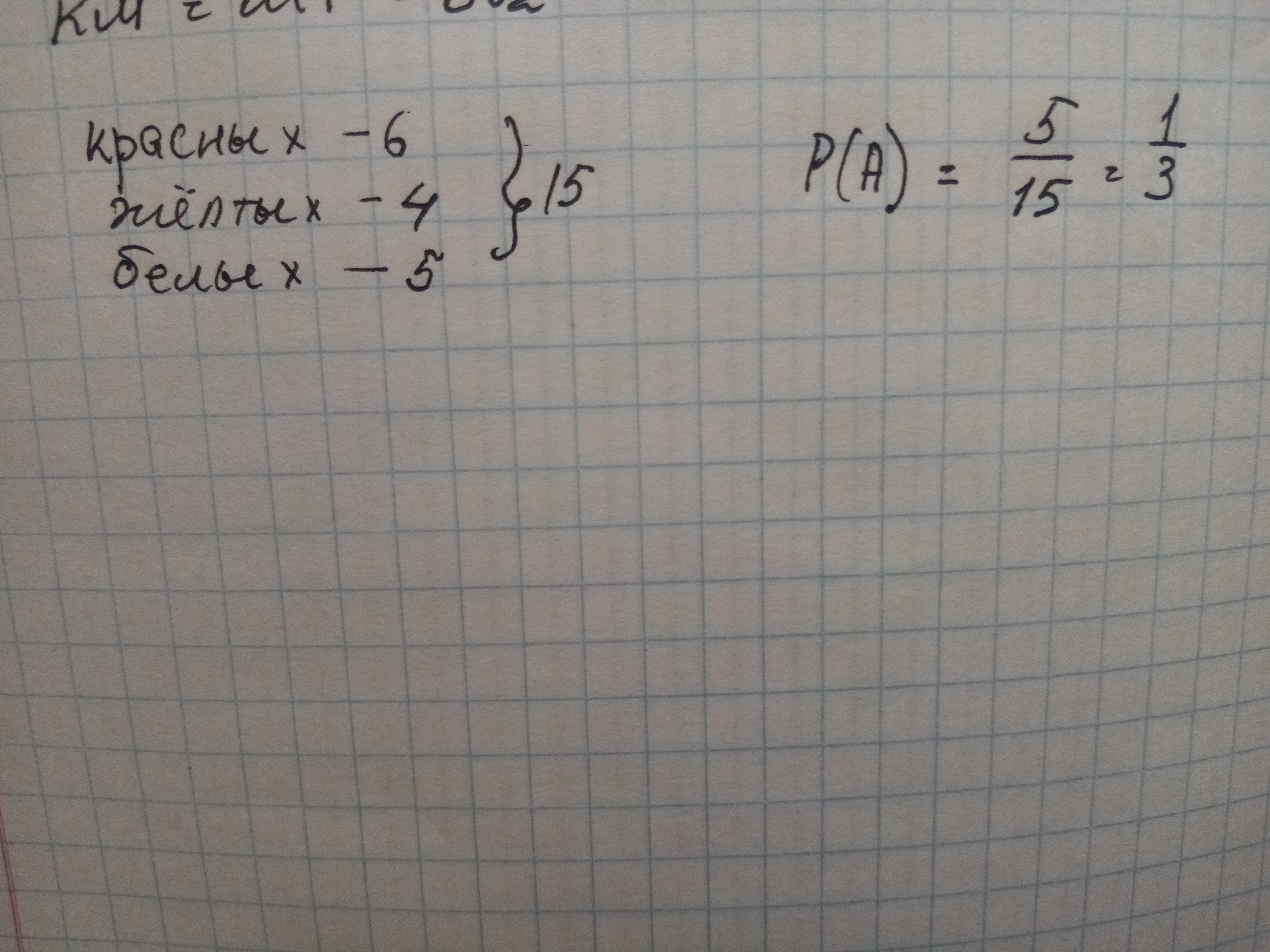
В коробке надохиться шесть красных, четыре жельтых и пять белых шаров. Какова вероятность того, что вынутый наугад шар окажется белым

Ответы

Ответ дал: pikhulavaleria03
0
Ответ:
На фото
На
Объяснение:

Приложения:
Вас заинтересует