• Предмет: Алгебра
  • Автор: s12v18l
  • Вопрос задан 7 лет назад

Разложите многочлен на множители. Запишите решение и ответ.

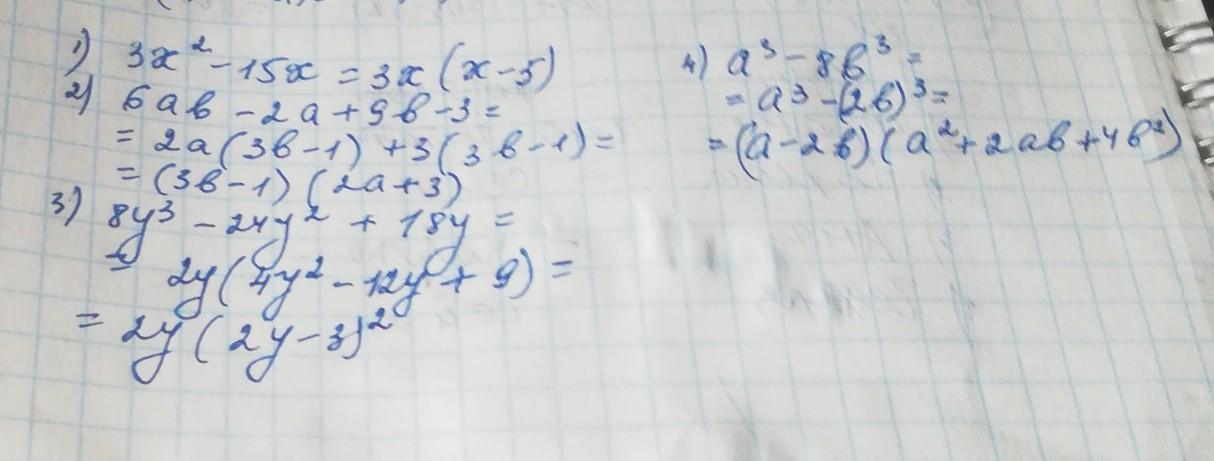
3х2 – 15х
6ab – 2a + 9b – 3
64x2 – y2
8y3 – 24y2 + 18y
a3 – 8b3

Ответы

Ответ дал: larisaserova53
0

Ответ:

Смотри решение на фото..

Приложения:
Вас заинтересует