• Предмет: Математика
  • Автор: sergiuukabatuk
  • Вопрос задан 7 лет назад

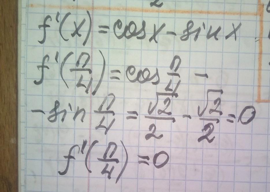
Дано функцію f(x) = sin x + cosx.
Знайти похідну функції f'(x) у точці
X0=П/4

Ответы

Ответ дал: manyny06
1

Ответ:

решение смотри на фотографии

Приложения:
Вас заинтересует