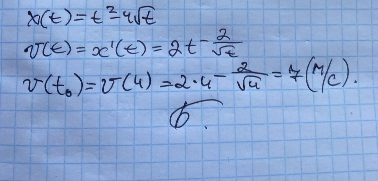
Срочно! Найдите мгновенную скорость точки, движущейся по закону x(t)=t^2-4корень t (м), в момент времени t0=4 с
Приложения:

Ответы
Ответ дал:
1
дивіться фото....................
Приложения:

Вас заинтересует
2 года назад
8 лет назад
9 лет назад