• Предмет: Алгебра
  • Автор: alinawolkova3
  • Вопрос задан 7 лет назад

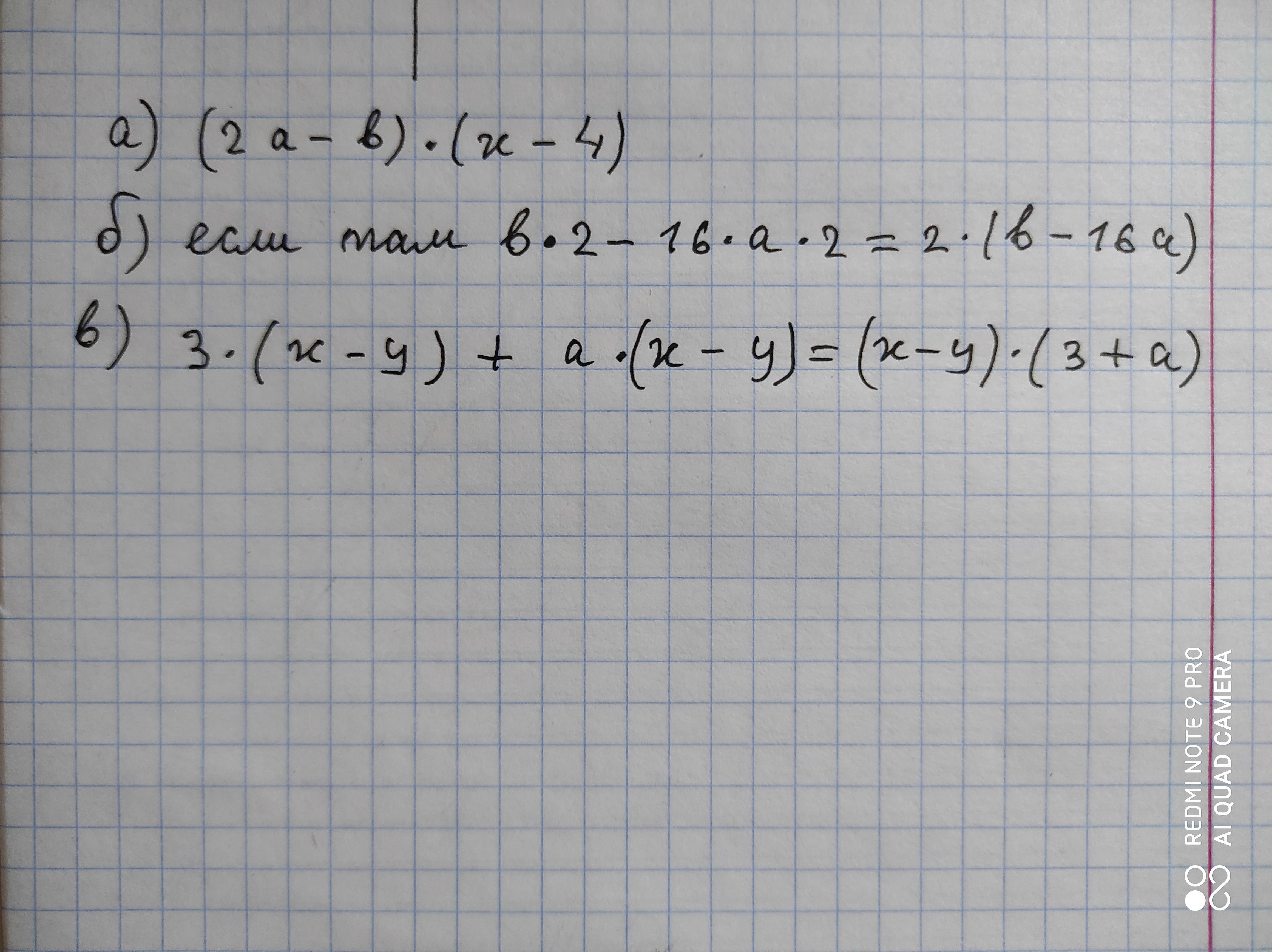
4. Разложить на множители:
а) х(2а-в) – 4(2а-в); б) в2- 16а2
в) 3х-3у+ ах- ау
Помогите пж, срочно надо

Ответы

Ответ дал: ivan89018029916
1
Ответ:

Объяснение:ююююю


Приложения:

alinawolkova3: Спасибо большое
ivan89018029916: Я надеюсь я в букве б правельно понял, что это не квадрат, а множитель
Вас заинтересует