• Предмет: Алгебра
  • Автор: Telly24
  • Вопрос задан 7 лет назад

решите плз надо очень

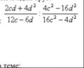
Приложения:

Ответы

Ответ дал: Shokuhou
1

Ответ:

\frac{2d(c+2d)}{6(2c-d)} *\frac{(4c-2d)(4c+2d)}{(2c-4d)(2c+4d)} =\frac{2d(c+2d)}{6(2c-d)}*\frac{4(2c-d)(2c+d)}{4(c-2d)(c+2d)} =\frac{2d}{6} *\frac{4(2c+d)}{4(c-2d)} =\frac{d}{3} *\frac{2c+d}{c-2d} =\frac{2cd+d^{2} }{3c-6d}

Вас заинтересует