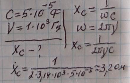
ДАМ 100 БАЛОВ!! визначте опір конденсатора ємністю 50 мкф на який подана змінна напруга частотою 1кгц
Ответы
Ответ дал:
2
Відповідь: 3,2 Ом
Пояснення:
Приложения:

nazarijzakrevskij:
Можеш допомогти мені будь ласка на останні питання в профілі
Вас заинтересует
2 года назад
2 года назад
2 года назад
8 лет назад
8 лет назад
9 лет назад
9 лет назад