• Предмет: Математика
  • Автор: irysianaumis
  • Вопрос задан 7 лет назад

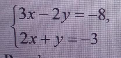
Розв'яжіть систему способом додавання ​

Приложения:

Ответы

Ответ дал: manyny06
1

Ответ:

решение смотри на фотографии с

Приложения:
Вас заинтересует