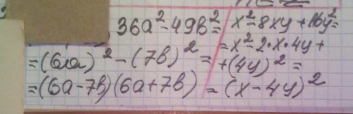
Розкладіть на множники 1) 36a²-49в²; 2) x² – 8xy + 16y².
помогите очень срочно через час надо сдать
Ответы
Ответ дал:
1
Ответ:
решение смотри на фотографии
Приложения:

Ответ дал:
0
Ответ:
1)36а²-49b²=6²a²-7²b²=(6a)²-(7b)²=(6a-7b)(6a+7b)
2)x²-8xy+16y²=x²-2x*4y+4²y²=x²-2x*4y+(4y)²=(x-4y)²
Вас заинтересует
2 года назад
2 года назад
2 года назад
8 лет назад
9 лет назад
9 лет назад