• Предмет: Физика
  • Автор: vikasergeevna225
  • Вопрос задан 7 лет назад

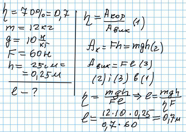
ККД похилої площини становить
70%. Щоб підняти вантаж масою
12 кг, необхідно прикласти силу
60 Н. Якою є довжина похилої
площини, якщо її висота
дорівнює 25 см?
відповідь округліть до десятих. Подайте її у вигляді числа з одиницями вимірювання в СІибез текстової назви величини

пожалуйста быстрее, у меня тест, помогите

Приложения:

Ответы

Ответ дал: zybkov1950
1

Відповідь: 0,7

Пояснення:

Приложения:
Вас заинтересует