• Предмет: Алгебра
  • Автор: charadream24
  • Вопрос задан 7 лет назад

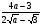
Помогите решить здесь нужно сократить дробь

Приложения:

Ответы

Ответ дал: filatovamatia
0

Объяснение:

.........................

Приложения:
Ответ дал: arsen684
0

Ответ:

раскроем по формуле сокращеного умножения

(2√а-√3) (2√а+√3) /2√3-а сократим отстается 2√а+√3

Вас заинтересует