Ответы
Ответ дал:
0
Ответ:
2x-3y=14 умножаем на 3
3x+2y=8 умножаем на -2
6x-9y=42
-6x-4y=-16
-13y=26
y=-2
Объяснение:
2x+6=14
2x=8
x=4
Ответ:(4;8)
Ответ дал:
0
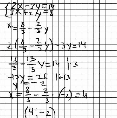
ответ на фото.
если у тебя есть возможность, сделай мой ответ лучшим. сверху, над ответом, есть голубая функция «сделать лучшим ответом» с коронкой
если у тебя есть возможность, сделай мой ответ лучшим. сверху, над ответом, есть голубая функция «сделать лучшим ответом» с коронкой
Приложения:

Вас заинтересует
2 года назад
2 года назад
2 года назад
2 года назад
8 лет назад
8 лет назад
9 лет назад