• Предмет: Алгебра
  • Автор: yurchenko0560
  • Вопрос задан 7 лет назад

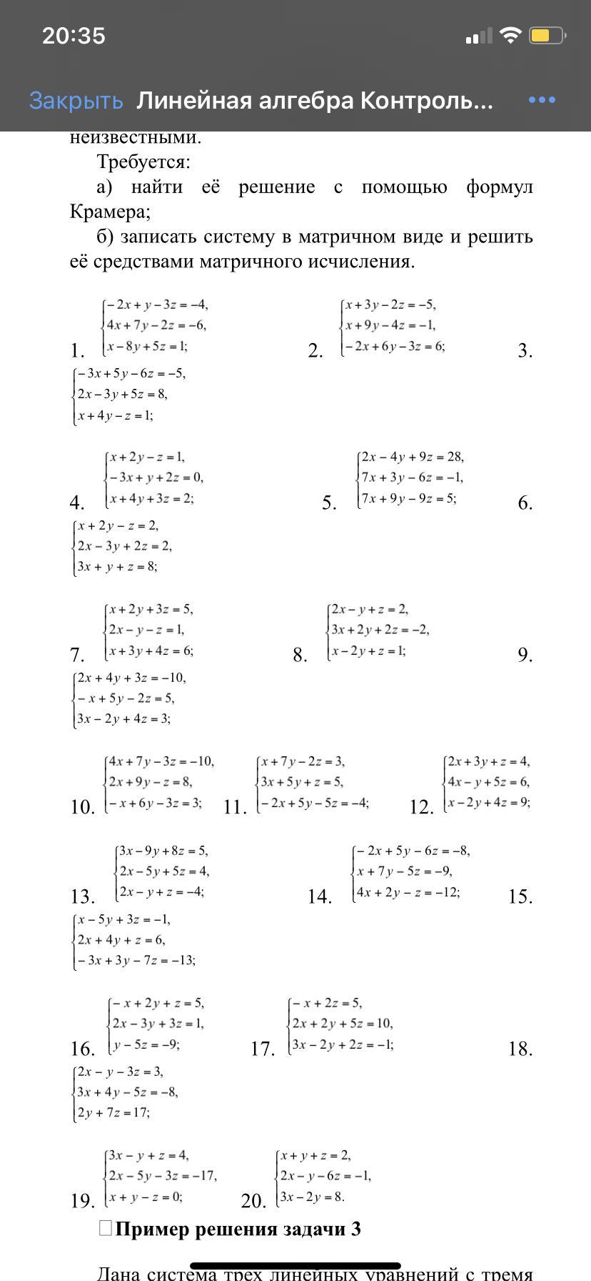
2x+4y+3z=-10 -x+5y-2z=5 3x-2y+4z=3 методом крамера, 7 задания второй пример

Приложения:

Ответы

Ответ дал: natalyabryukhova
3

Ответ:

Ответ:  \displaystyle       \left(\frac{113}{5}  ;\;-\frac{6}{5}  ;\;-\frac{84}{5}\right)

Объяснение:

Решить систему методом Крамера:

\begin{equation*} \begin{cases}   2x+4y+3z=-10    \\-x+5y-2z=5   \\3x-2y+4z=3   \\ \end{cases}\end{equation*}

Найдем главный определитель системы:

\Delta=\begin{vmatrix}  a_1& b_1&c_1\\  a_2 &b_2&c_2\\a_3& b_3&c_3\\\end{vmatrix}

где a, b, c - числовые коэффициенты при x, y, z соответственно.

Найдем определитель разложением по первой строке:

Δ = a₁ · (b₂c₃ - b₃c₂) - b₁ · (a₂c₃ - a₃c₂) + c₁ · (a₂b₃ - a₃b₂)

Вычислим Δ:

\displaystyle        \Delta=\begin{vmatrix}  2& 4&3\\  -1 &5&-2\\3& -2&4\\\end{vmatrix}=\\\\=2(5\cdot4-(-2)\cdot(-2))-4((-1)\cdot4-3\cdot(-2))+3((-1)\cdot(-2)-3\cdot5)=\\\\=32-8-39=-15

Δ ≠ 0 ⇒ система имеет единственное решение.

Для нахождения корней необходимо вычислить еще три определителя:

1. Δх.

Заменим в главном определителе первый столбец на столбец свободных членов (d):

\Delta_x=\begin{vmatrix}  d_1& b_1&c_1\\  d_2 &b_2&c_2\\d_3& b_3&c_3\\\end{vmatrix}

Вычислим Δх:

\displaystyle        \Delta_x=\begin{vmatrix}  -10& 4&3\\  5 &5&-2\\3& -2&4\\\end{vmatrix}=\\\\=-10\cdot(5\cdot4-(-2)\cdot(-2))-4\cdot(5\cdot4-3\cdot(-2))+3\cdot(5\cdot(-2)-3\cdot5)=\\\\=-160-104-75=-339

2. Δy.

Заменим в главном определителе второй столбец на столбец свободных членов (d):

\Delta_y=\begin{vmatrix}  a_1& d_1&c_1\\  a_2 &d_2&c_2\\a_3& d_3&c_3\\\end{vmatrix}

Вычислим Δy:

\displaystyle        \Delta_y=\begin{vmatrix}  2& -10&3\\  -1 &5&-2\\3& 3&4\\\end{vmatrix}=\\\\=2\cdot(5\cdot4-3\cdot(-2))+10\cdot((-1)\cdot4-3\cdot(-2))+3\cdot((-1)\cdot3-3\cdot5)=\\\\=52+20-54=18

3. Δz.

Заменим в главном определителе третий столбец на столбец свободных членов (d):

\Delta_z=\begin{vmatrix}  a_1& b_1&d_1\\  a_2 &b_2&d_2\\a_3& b_3&d_3\\\end{vmatrix}

Вычислим Δz:

\displaystyle        \Delta_z=\begin{vmatrix}  2& 4&-10\\  -1 &5&5\\3& -2&3\\\end{vmatrix}=\\\\=2\cdot(5\cdot3-(-2)\cdot5)-4\cdot((-1)\cdot3-3\cdot5)-10\cdot((-1)\cdot(-2)-3\cdot5)=\\\\=50+72+130=252

Ответ рассчитывается по формулам:

\displaystyle        x=\frac{\Delta_x}{\Delta} ;\;\;\;\;\;  y=\frac{\Delta_y}{\Delta} ;\;\;\;\;\;  z=\frac{\Delta_z}{\Delta}

Найдем корни:

\displaystyle        x=\frac{-339}{-15}=\frac{113}{5}  ;\;\;\;\;\;  y=\frac{18}{-15}=-\frac{6}{5}  ;\;\;\;\;\;  z=\frac{252}{-15}=-\frac{84}{5}

Ответ:  \displaystyle       \left(\frac{113}{5}  ;\;-\frac{6}{5} ; \;-\frac{84}{5}\right)

#SPJ1

Вас заинтересует