Ответы
Ответ дал:
1
Ответ:
могу и по-другому решить, смотря какой класс
Приложения:

klubovartem29:
Я в 7 классе жто для какого?
Ответ дал:
0
Пошаговое объяснение:
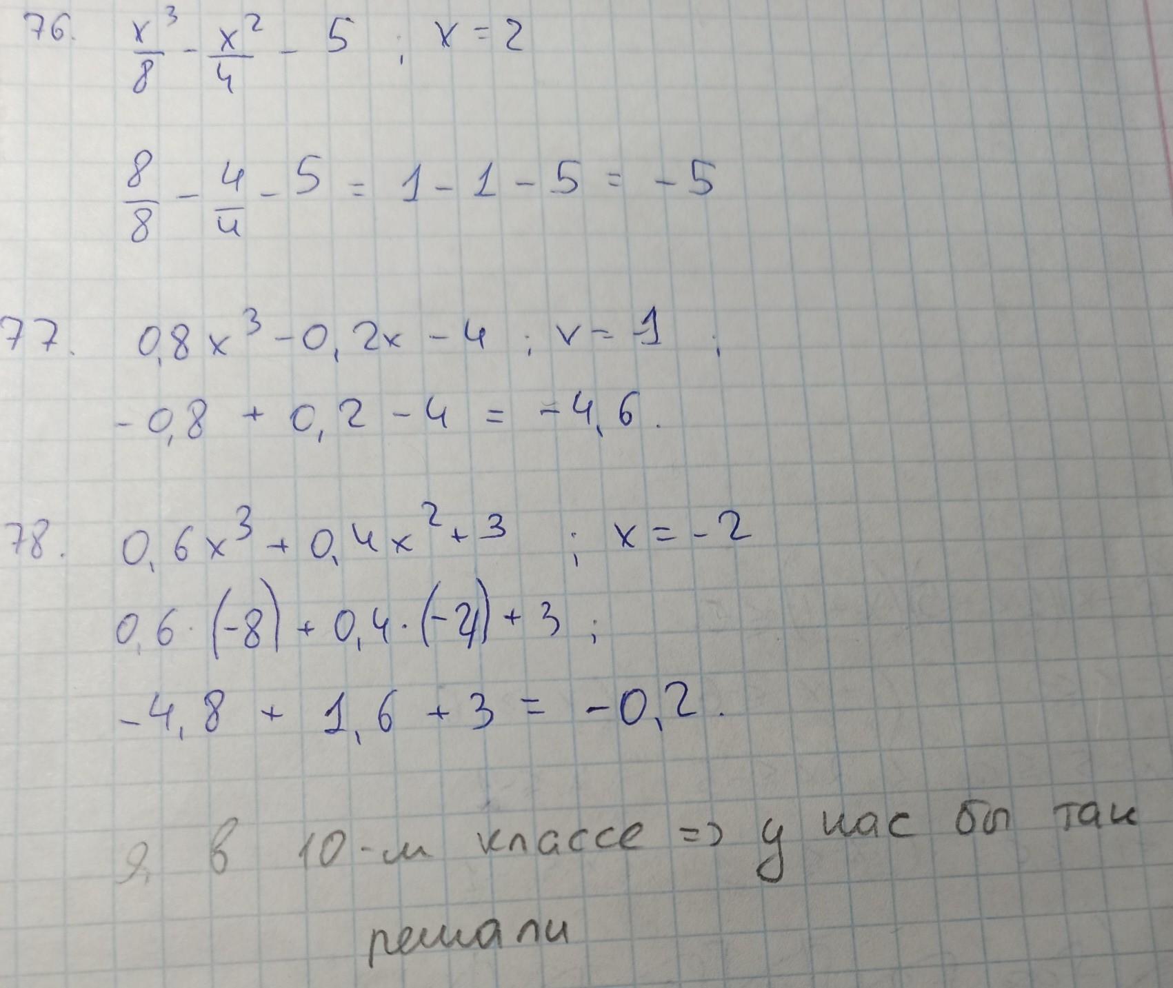
76. 2³=8 2²=4
8/8=1 4/4=1
1-1-5=0-5=-5
77. -1³= -1
0,8*(-1)-0,2*(-1)-4= -0,8+0,2-4= -0,6-4= -4,6
78. -2³= -8 -2²=4
0,6*(-8)+0,4*4+3= -4,8+1,6+3= -3,2+3= -0,2
Вас заинтересует
2 года назад
2 года назад
2 года назад
9 лет назад