• Предмет: Алгебра
  • Автор: zxcuser22
  • Вопрос задан 7 лет назад

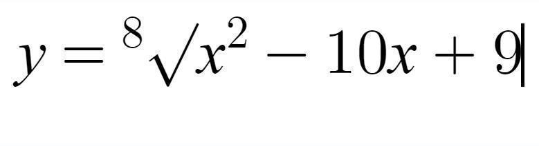
Найти область определения функции (она на фото)

Приложения:

Ответы

Ответ дал: xacku2020
1

8-четное число ⇒ х²-10х+9≥0

D=100-36=64 ,

x1=(10-8)/2=1, х2=(10+8)/2=9

(х-1)(х-9)≥0

      +              -                       +

______[1]_________[9]_______  x∈(-∞;1]∪[9;+∞)

Вас заинтересует