• Предмет: Математика
  • Автор: Hikkan0
  • Вопрос задан 7 лет назад

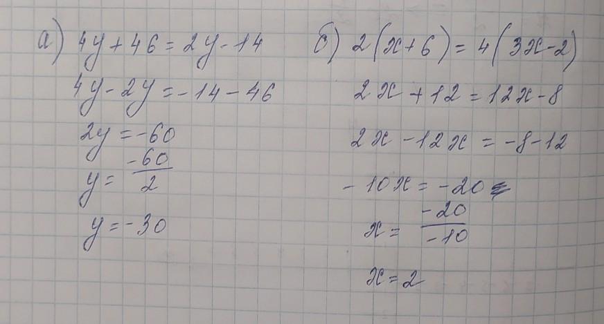
а) 4y + 46 = 2 y - 14
б) 2(х+6)=4(3х - 2)
Буду благодарна за помощь.

Ответы

Ответ дал: aliyegulmaliyeva
1

Ответ:

a)

y =  - 30

b)

x = 2

Приложения:

tatsach: В последнем 2 а не 5
tatsach: Исправьте
aliyegulmaliyeva: Большое спасибо, что указали на мою ошибку
Ответ дал: stolkovskayatanya
1

Ответ:

Привіт, відповідь на фото ❤️.

Приложения:
Вас заинтересует