• Предмет: Математика
  • Автор: ggulnaz72
  • Вопрос задан 10 лет назад

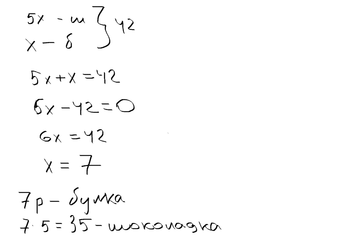
шоколадка в 5 раз дороже булочки.вместе они стоят 42 рубля. сколько стоитотдельно шоколадка и булочка?

Ответы

Ответ дал: Millss
0
Надеюсь, что понятно написано.
Приложения:
Ответ дал: Аноним
0
правильно
Вас заинтересует