• Предмет: Математика
  • Автор: kozinec136
  • Вопрос задан 7 лет назад

ПОЖАЛУЙСТА ПРОШУ! Задача! С рисунком! 50баллов!!!

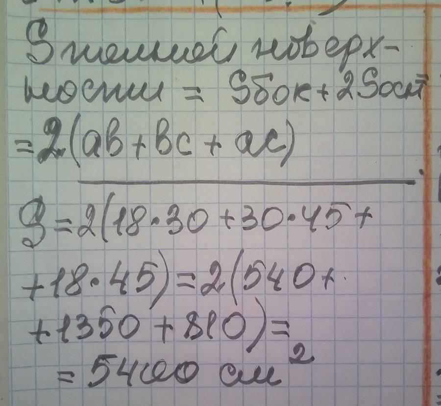
Довжина діагоналі прямокутного паралелепіпеда – 57 см, його розміри відносяться як 6:10:15. Визначте площу повної поверхні паралелепіпеда.

Ответы

Ответ дал: manyny06
1

Ответ:

решение смотри на фотографии

Приложения:
Вас заинтересует