• Предмет: Алгебра
  • Автор: greze
  • Вопрос задан 3 года назад

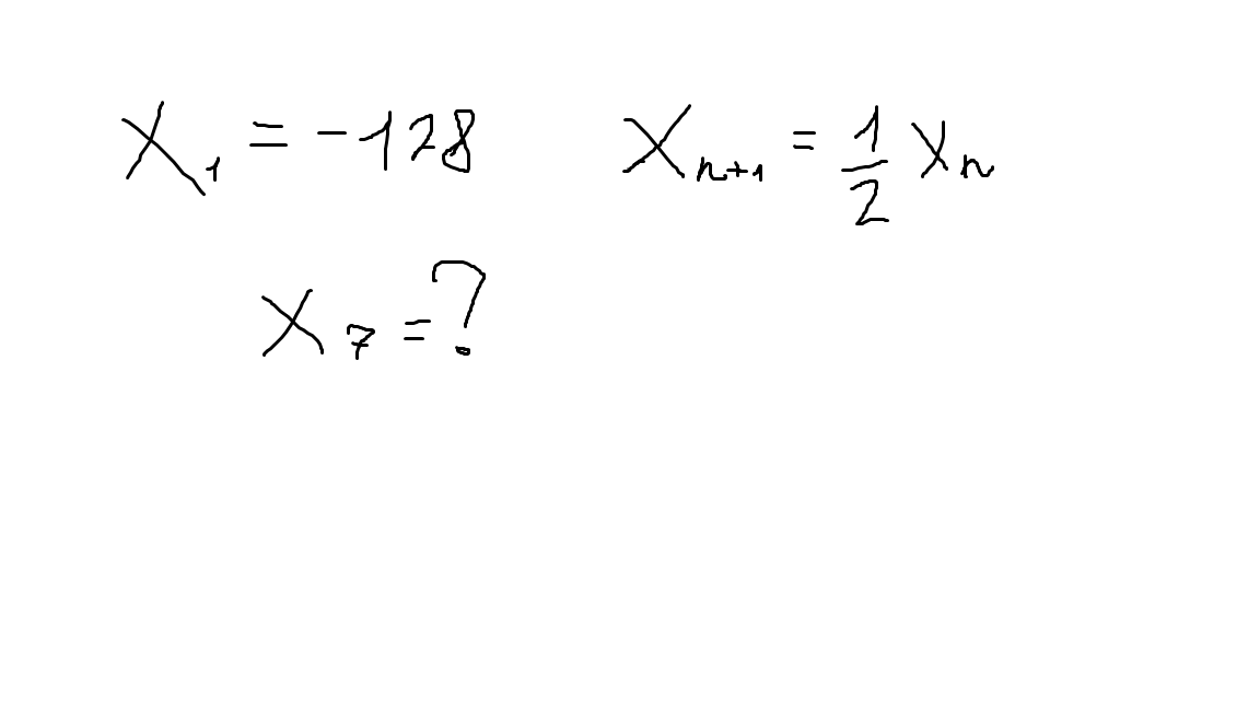
дана прогрессия (найдите x7 по ее формуле)

Приложения:

Ответы

Ответ дал: mmb1
2
x1=-128
xn+1=1/2xn
коэффициент = 1/2
x7=1/2^6x1=-128/64=-2
Вас заинтересует