РЕБЯТА СРОЧНО ,ПОМОГИТЕ , НАПИШИТЕ ОДНО ЛЮБОЕ ЗАДАНИЕ С ТЕМЫ" дії з многочленами" ПОЖАЛУЙСТА ПОМОГИТЕ ПРОШУ ВАС УМОЛЯЮ ‼️‼️‼️‼️‼️‼️‼️‼️‼️‼️‼️‼️‼️‼️‼️‼️‼️‼️‼️‼️‼️‼️‼️‼️‼️‼️‼️‼️‼️‼️‼️‼️‼️‼️‼️‼️‼️‼️‼️‼️‼️‼️‼️‼️‼️‼️‼️‼️‼️‼️ ЛЮБОЙ НОМЕР С ЭТОЙ ТЕМЫ ПОЖАЛУЙСТА ПОМОГИТЕ ПРОШУ ВАС ПОМОГИТЕ ПРОШУ ВАС УМОЛЯЮ БОЖЕ ПОЖАЛУЙСТА СРОЧНО ПОЖАЛУЙСТА ПОМОГИТЕ СРОЧНО ПОЖАЛУЙСТА ПОМОГИТЕ ПРОШУ ВАС ‼️‼️‼️‼️‼️‼️‼️‼️‼️‼️‼️‼️‼️‼️‼️‼️‼️‼️‼️‼️‼️‼️‼️‼️‼️‼️‼️‼️‼️‼️‼️‼️‼️‼️‼️‼️‼️‼️‼️‼️‼️‼️‼️‼️‼️‼️‼️‼️‼️‼️‼️‼️‼️‼️‼️‼️‼️‼️‼️‼️‼️‼️‼️‼️‼️‼️‼️‼️‼️‼️‼️‼️‼️‼️‼️‼️‼️‼️‼️‼️‼️‼️‼️‼️‼️‼️‼️‼️‼️‼️‼️‼️‼️‼️‼️‼️‼️‼️‼️‼️‼️‼️‼️‼️ ПОЖАЛУЙСТА ПОМОГИТЕ ПРОШУ ВАС УМОЛЯЮ БОЖЕ ПОЖАЛУЙСТА НАПИШИТЕ ОТВЕТ ПОЖАЛУЙСТА ПОМОГИТЕ ПРОШУ ВАС ‼️‼️‼️‼️‼️‼️‼️‼️‼️‼️‼️‼️‼️
Приложения:

Ответы
Ответ дал:
0
Пошаговое объяснение:
............. .........
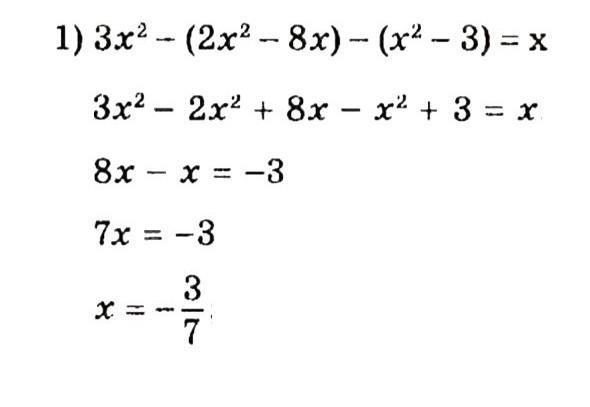
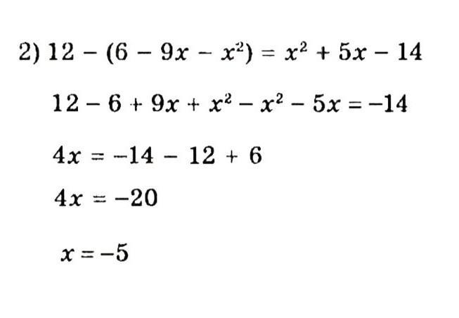
Приложения:




darinadobroskok979:
какое єто заданіе?
Вас заинтересует
2 года назад
2 года назад
2 года назад
8 лет назад
8 лет назад