Ответы
Ответ дал:
0
Ответ:
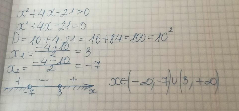
x1 = -7
x2 = 3
x є (-∞;-7) ∪ (3;+∞)
Приложения:

ashatvolkov6:
А можно решение
Вас заинтересует
2 года назад
2 года назад
2 года назад
8 лет назад
8 лет назад
9 лет назад