Ответы
Ответ дал:
0
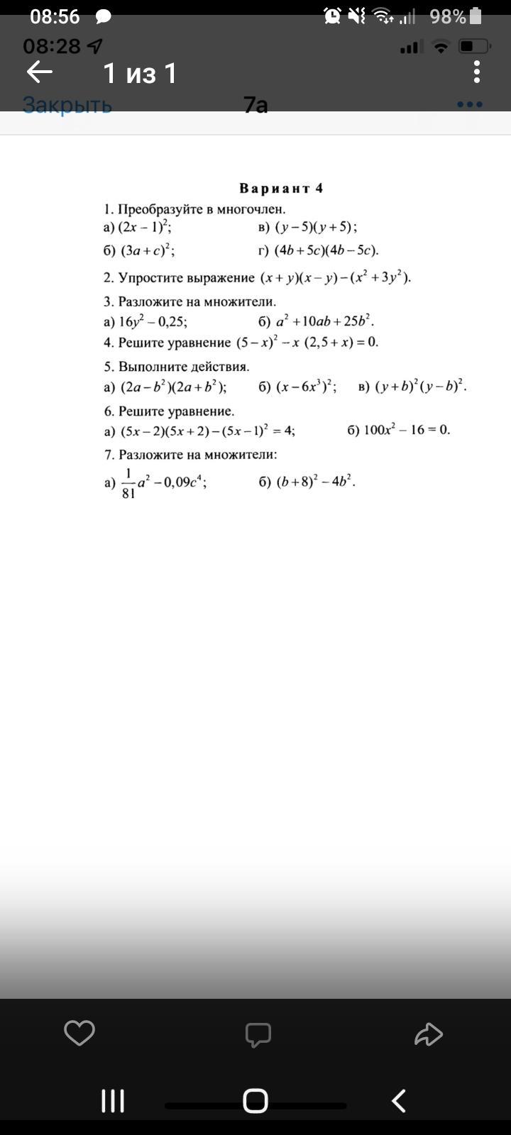
1.) (2x-1)^2=4x^2-4x+1
(3a+c)^2=9a^2+6ac+c^2
(y-5)(y+5)=y^2-25
(4b+5c)(4b-5c)=16b^2+25c^2
2.)(x+y)(x-y)-(x^2+3y^3)=x^2-y^2-x^2-3y^2=-4y^2
3.)16y^2-0,25=(4y-0,5)(4y+0,5)
a^2+10ab+25b^2=(a+5b)^2
4.)(5-x)^2-x(2,5+x)=0
25-10x+x^2-2,5x-x^2=0
7,5x=-25
x=-3 1/3
5.) (2a-b^2)(2a+b^2)=4a^2-b^4
(x-6x^3)^2=x^2-12x^4+36x^6
(y+b^2)(y-b^2)=y^2-b^4
6.) (5x-2)(5x+2)-(5x-1)^2=4
25x^2-4-25x^2-10x+1=4
-10x=7
x=-0.7
100x^2-16=0
(10x-4)(10x+4)=0
[10x-4=0 10x=4 x=0,4
[10x+4=0 10x=-4 x=-0,4
7.) 1/81 a^2-0,09c^4=(1/9 a-0,3c^2)(1/9 a+0,3c^2)
(b+8)^2-4b^2
Заменим b+8=t
t^2-4b^2=(t-2b)(t+2b)=((b+8)-2b)((b+8)+2b)
(3a+c)^2=9a^2+6ac+c^2
(y-5)(y+5)=y^2-25
(4b+5c)(4b-5c)=16b^2+25c^2
2.)(x+y)(x-y)-(x^2+3y^3)=x^2-y^2-x^2-3y^2=-4y^2
3.)16y^2-0,25=(4y-0,5)(4y+0,5)
a^2+10ab+25b^2=(a+5b)^2
4.)(5-x)^2-x(2,5+x)=0
25-10x+x^2-2,5x-x^2=0
7,5x=-25
x=-3 1/3
5.) (2a-b^2)(2a+b^2)=4a^2-b^4
(x-6x^3)^2=x^2-12x^4+36x^6
(y+b^2)(y-b^2)=y^2-b^4
6.) (5x-2)(5x+2)-(5x-1)^2=4
25x^2-4-25x^2-10x+1=4
-10x=7
x=-0.7
100x^2-16=0
(10x-4)(10x+4)=0
[10x-4=0 10x=4 x=0,4
[10x+4=0 10x=-4 x=-0,4
7.) 1/81 a^2-0,09c^4=(1/9 a-0,3c^2)(1/9 a+0,3c^2)
(b+8)^2-4b^2
Заменим b+8=t
t^2-4b^2=(t-2b)(t+2b)=((b+8)-2b)((b+8)+2b)
Вас заинтересует
2 года назад
3 года назад
8 лет назад
10 лет назад