Ответы
Ответ дал:
1
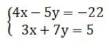
відповідь: (-3;2)
розв‘язок на фото.
використовувала спосіб додавання
якщо у тебе є можливість, зроби мою відповідь найкращою, будь ласка. зверху відповіді має бути функція «зробити найкращою відповіддю» блакитним кольором.
розв‘язок на фото.
використовувала спосіб додавання
якщо у тебе є можливість, зроби мою відповідь найкращою, будь ласка. зверху відповіді має бути функція «зробити найкращою відповіддю» блакитним кольором.
Приложения:
Вас заинтересует
2 года назад
2 года назад
3 года назад
3 года назад
8 лет назад
8 лет назад
10 лет назад