Ответы
Ответ дал:
1
Ответ:
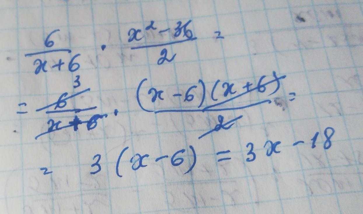
Смотри решение на фото..
Приложения:

kimmina7373:
Добрый вечер не могли бы мне помочь с геометрией пожалуйста
Вас заинтересует
2 года назад
2 года назад
2 года назад
8 лет назад
8 лет назад
9 лет назад
9 лет назад