• Предмет: Математика
  • Автор: zxcMikrob
  • Вопрос задан 7 лет назад

Помогите пожалуйста
!!!!!!!!!!!!!!!!!!!!!!

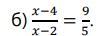
Приложения:

Ответы

Ответ дал: DimanCSM
0

Ответ:

-0.5

Пошаговое объяснение:

по свойству пропорции произведение крайних членов = произведению средних членов

9(x-2)=5(x-4)

9x-18=5x-20

4x=-2

x=-0.5

Вас заинтересует