ПОМОГИТЕ ПОЖАЛУЙСТА!!!
Задача №1
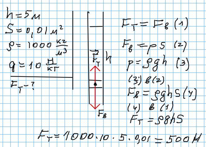
Водостічна труба двохповерхового будинку заввишки 5м засмітилася біля нижнього кінця так, що вода через корок, що утворився , зовсім не протікає. Якою є мінімальна сила тертя корка о трубу, якщо відомо що площа корка дорівнює 0,01м²? Густина води 1000 кг/м³, прискорення вільного падіння g = 10 Н/кг. Відповідь дайте у ньютонах.
Задача №2
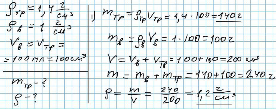
Деякі люди полюбляють пити ароматизований трав'яний чай і використовують для його приготування розведену у воді густу витяжку з материнки та мати - й - мачухи. Густина трав'яної витяжки 1,4 г/см³, густина води 1г/см³. Для приготування розчину змішали однакові об'єми води та трав'яної витяжки.
1. Визначте масу використаної трав'яної витяжки , якщо її об'єм дорівнює 100мл.
2. Знайдіть густину отриманого розчину, якщо його об'єм дорівнює сумі об'ємів вихідних компонентів.
Відповідь округліть до десятих.
Ответы
Ответ дал:
1
Відповідь: Див. додаток
Пояснення:
Приложения:


Вас заинтересует
2 года назад
2 года назад
2 года назад
8 лет назад
8 лет назад
9 лет назад