• Предмет: Алгебра
  • Автор: kuzminaelizaveta055
  • Вопрос задан 7 лет назад

Решите , пожалуйстааааа
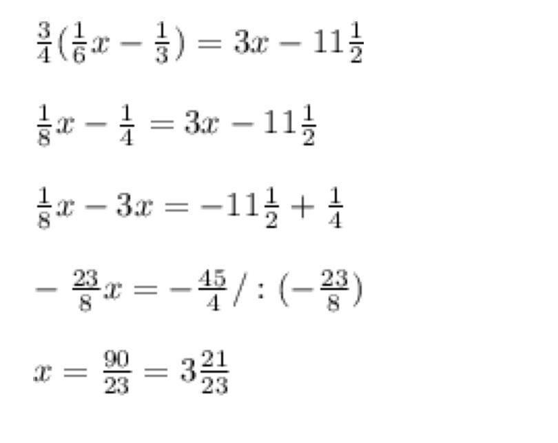
3/4 (1/6 - 1/3) = 3x - 11 1/2​

Ответы

Ответ дал: shprot38
1
надеюсь помогла
……………..
Приложения:
Ответ дал: vasilenkohristina3
0

Ответ:

1/8x-1/4=3x-23/2

x-2=24x-92

x-2-24x=-92

x-24x=-92+2

-23x=-92+2

-23x=-90

x=90/23

Объяснение:

надеюсь помогла ❤️✨❤️

Вас заинтересует