• Предмет: Алгебра
  • Автор: yaraslavkebirov
  • Вопрос задан 7 лет назад

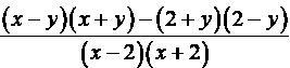
Найдите значение выражения при , при

Приложения:

Ответы

Ответ дал: lissaDekar
0

Ответ:

/////////////////////////

Приложения:
Вас заинтересует