Ответы
Ответ дал:
0
Ответ:
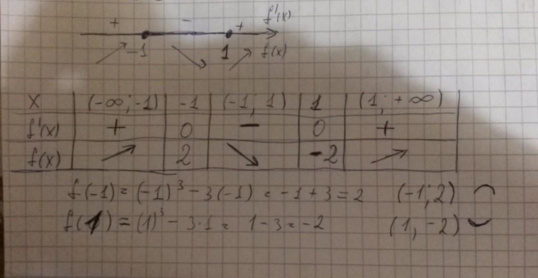
Все в решении.
Полный разброр.
Монотонность в табличке там найдешь.
Экстремумы тоже.
График тоже начертил. Удачи
Приложения:





prin4ik:
https://znanija.com/task/49645689
Вас заинтересует
2 года назад
2 года назад
2 года назад
2 года назад
8 лет назад
8 лет назад
9 лет назад