• Предмет: Алгебра
  • Автор: Funchosa
  • Вопрос задан 7 лет назад

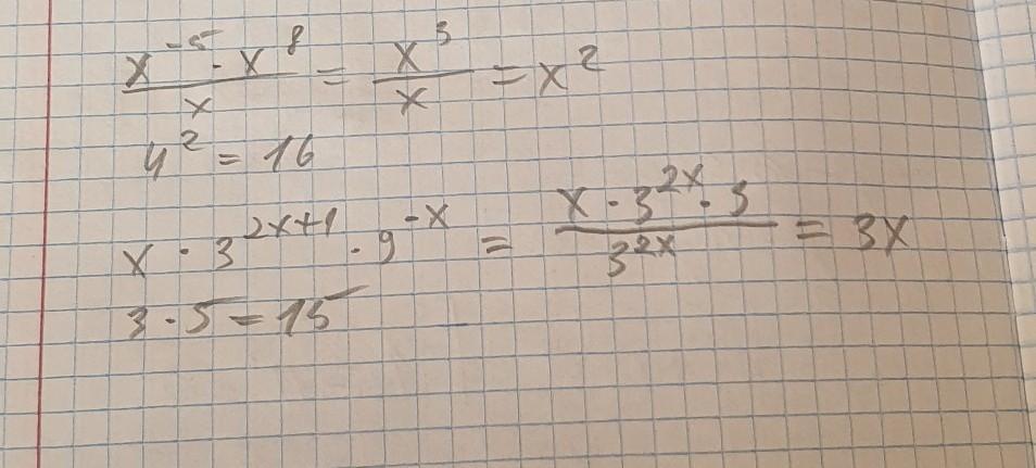
помогите пожалуйста ​

Приложения:

Ответы

Ответ дал: darkness88lucifer
0

Ответ:

в последнем отрицательная степень уходит в знаменатель с положительным знаком, а также 9 представляется как 3 в квадрате

Приложения:
Вас заинтересует