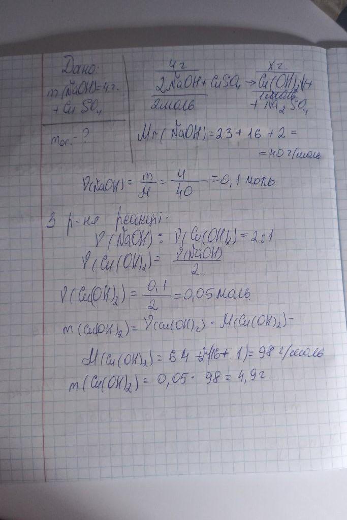
СРОООООЧНООО БУДЬЛААСКАА!!!!!!до розчину, що містить 4 г натрiй гiдроксиду, долили розчин купрум (II) сульфату. Обчисло масу осаду, що утворився.
Ответы
Ответ дал:
0
Ответ:
m=4,9г
Объяснение:
всі пояснення на фото
Приложения:

Вас заинтересует
2 года назад
2 года назад
2 года назад
2 года назад
9 лет назад