• Предмет: Математика
  • Автор: kvshop7675
  • Вопрос задан 7 лет назад

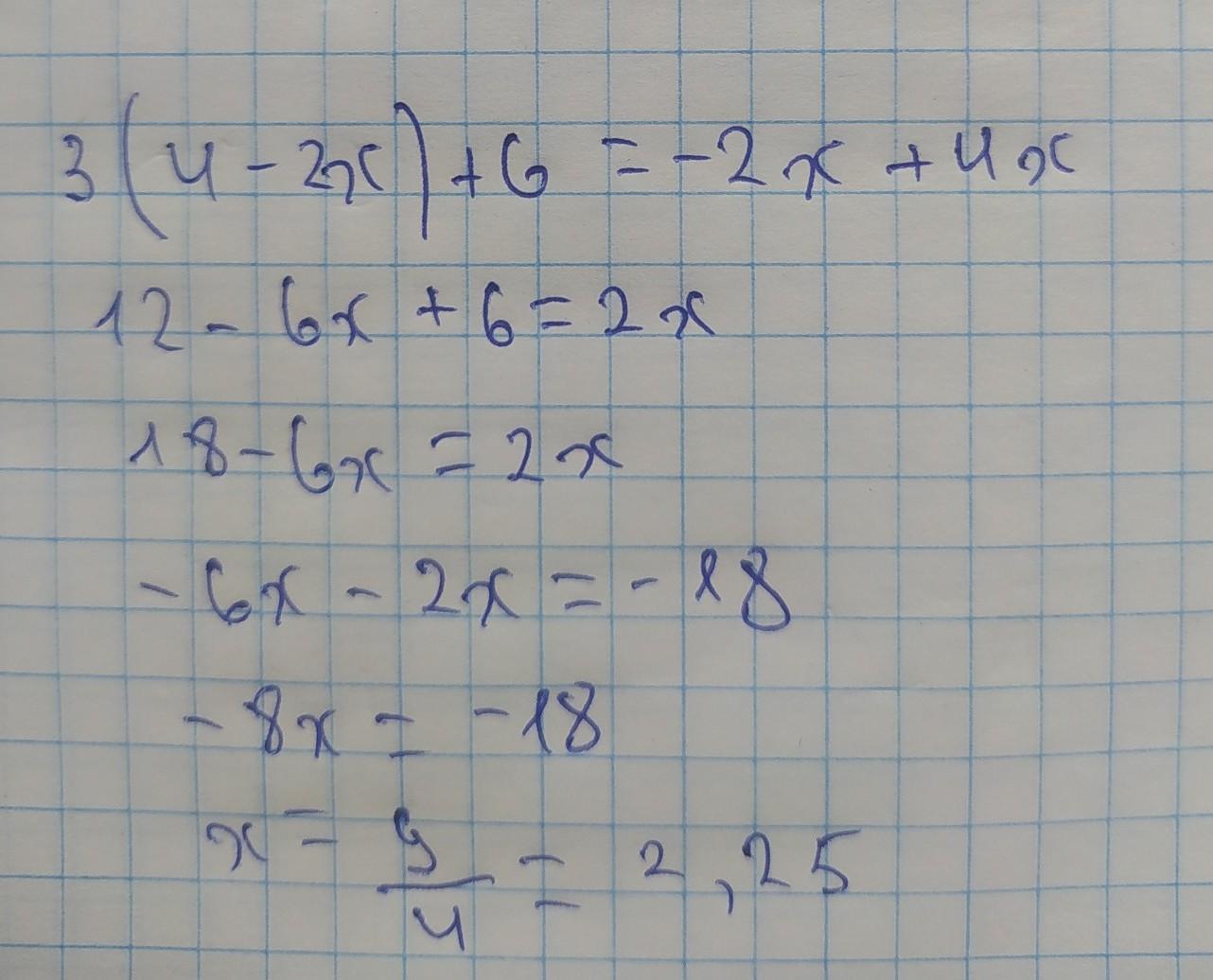
Розв'яжіть рівняння 3(4-2x)+6=-2x+4x

Ответы

Ответ дал: vlad1032007
2

Ответ:

Ответ на фото!!!!!!!!!!

Приложения:

kvshop7675: Спасибо
Ответ дал: stolkovskayatanya
1

Ответ:

Привіт, відповідь на фото ❤️.

Приложения:

kvshop7675: Дякую ✨
stolkovskayatanya: нема за що)
Вас заинтересует