• Предмет: Математика
  • Автор: trubkinavika2022
  • Вопрос задан 7 лет назад

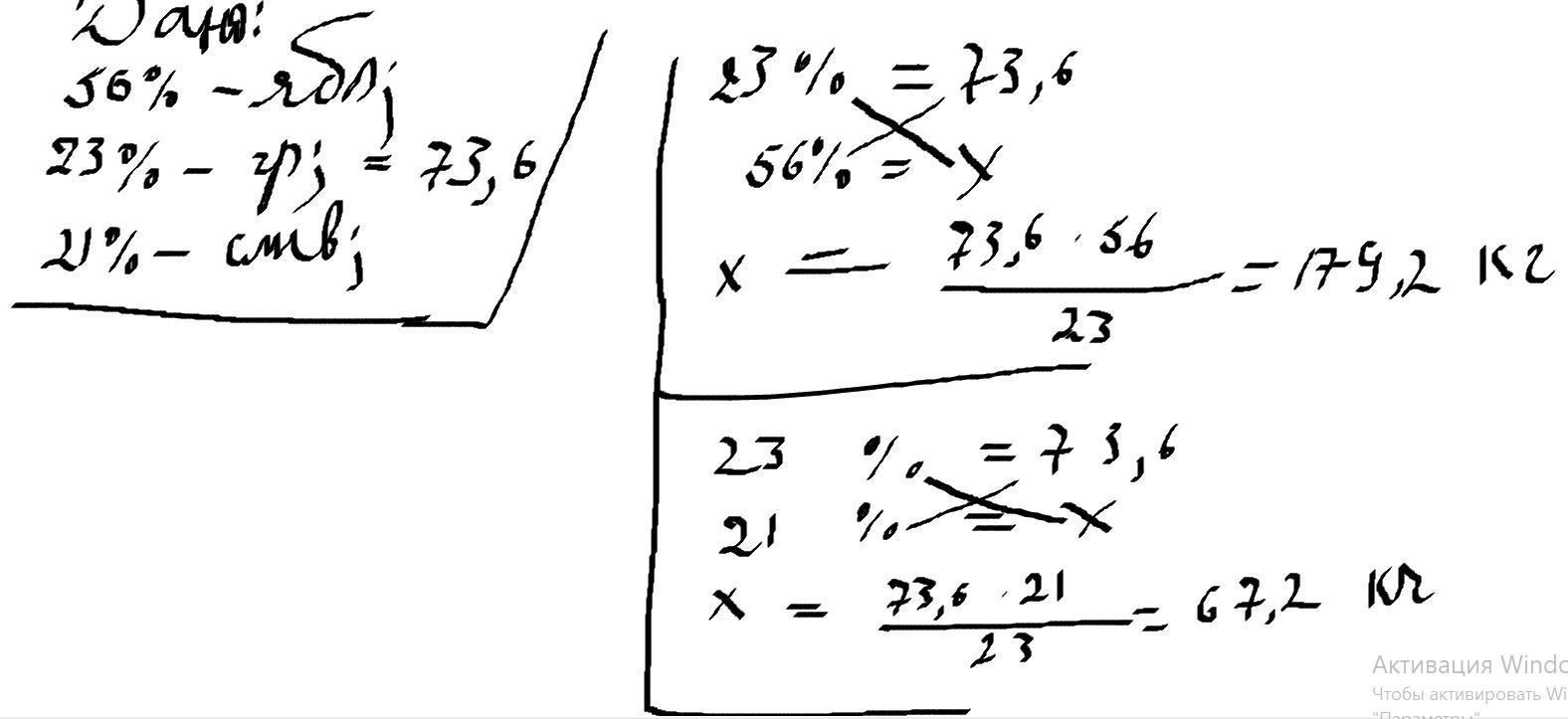
5. a) в овощной магазин привезли
фрукты. Яблоки составляли 56%,
груши 23%, сливы 21%. Сколько кг
слив и сколько кг яблок привезли в
магазин, если груш привезли 73,6 кг?

Ответы

Ответ дал: theFLASH221b
1

Ответ:

Яблок-179,2; Слив-67,2;

Пошаговое объяснение:

Приложения:
Вас заинтересует