• Предмет: Математика
  • Автор: liza10666678
  • Вопрос задан 7 лет назад

решите пожалуйста дам 25 балов

Приложения:

Ответы

Ответ дал: theFLASH221b
0

Ответ:

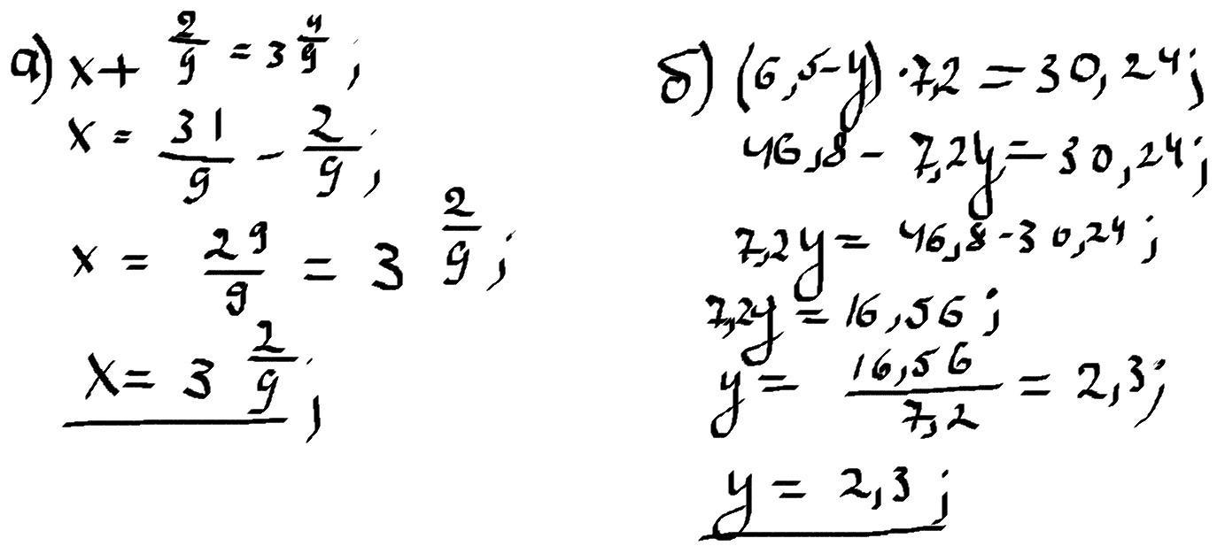
x=3(2/9); y=2,3;

Пошаговое объяснение:

Приложения:
Ответ дал: dyexfnf
0

Ответ:

Пошаговое объяснение:

а)

х + 2/9 = 3 4/9

х = 3 4/9 - 2/9

х = 3 2/9

б)

(6,5 - у) * 7,2 = 30,24

6,5 - у = 30,24 :7,2

6,5 - у = 4,2

- у = 4,2 - 6,5

- у = - 2,3

у = 2,3

Вас заинтересует